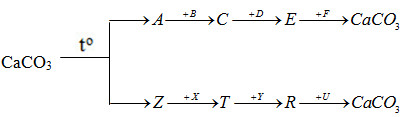
Xác định các chất trong chuỗi phản ứng : Hướng dẫn trả lời: A: CaO B: H2O C: Ca(OH)2 D: HCl E: CaCl2 F: Na2CO3 Z: CO2 X: Ba(OH)2 T: Ba(HCO3)2 Y: KOH R: K2CO3 U: Ca(NO3)2