Hóa học 11 Bài 41 Phenol

  1. Tác giả: LTTK CTV
    Đánh giá: ✪ ✪ ✪ ✪ ✪

    Tóm tắt lý thuyết

    1. Định nghĩa, phân loại

    1.1. Định nghĩa

    • Phenol là những hợp chất hữu cơ trong phân tử có nhóm –OH liên kết trực tiếp với nguyên tử cacbon của vòng benzen.
    • Nhóm –OH liên kết trực tiếp vưói nguyên tử cacbon của vòng benzen được gọi là nhóm –OH phenol.
    • Ví dụ:
    [​IMG]
    1.2. Phân loại (2 loại)

    • Phenol đơn chức: phân tử có một nhóm –OH phenol.
      • Ví dụ:
        [​IMG]
    • Phenol đa chức: phân tử có hai hay nhiều nhóm –OH phenol.
      • Ví dụ:
        [​IMG]
        1,2-đihidroxi-3-metylbenzen
    2. Phenol

    2.1. Cấu tạo

    • CTPT: C6H6O
    • CTCT:
      [​IMG]
    [​IMG]
    Hình 1: Mô hình phân tử Phenol
    a) Dạng đặc b) Dạng rỗng
    2.2. Tính chất vật lí

    • Phenol là chất rắn, không màu, nóng chảy ở 43oC.
    • Khi để lâu trong không khí, phenol chuyển thành màu hồng do bị oxi hoá chậm trong không khí.
    • Phenol rất độc, gây bỏng da.
    • Ít tan trong nước lạnh, tan nhiều trong nước nóng.
    2.3. Tính chất hóa học

    a. Phản ứng thế nguyên tử H của nhóm –OH
    • Với kim loại kiềm: C6H5-OH + Na → C6H5-ONa + 1/2H2.
    • Với dung dịch bazơ: C6H5-OH + NaOH → C6H5-ONa + H2O.
    → phenol có tính axit yếu.
    C6H5ONa + H2O + CO2 →C6H5OH + NaHCO3
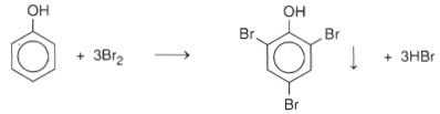
    b. Phản ứng thế nguyên tử H của vòng benzen
    [​IMG]
    2,4,6- tribromphenol


    Video 1: Phenol làm mất màu dung dịch Brom
    • Nhận xét: Nguyên tử H của vòng benzen trong phân tử phenol dễ bị thay thế hơn nguyên tử H của vòng benzen trong phân tử các hidrocacbon thơm. Đó là do ảnh hưởng của nhóm -OH tới vòng benzen.
    2.4. Điều chế

    [​IMG]
    Hoặc: C6H6 → C6H5Br → C6H5ONa → C6H5OH
    2.5. Ứng dụng

    • Dùng để sản xuất nhựa phenolfomanđehit, nhựa urefomanđehit…
    • Sản xuất phẩm nhuộm, thuốc nổ, chất diệt cỏ…
    [​IMG]
    Hình 2: Ứng dụng Phenol làm chất dẻo, thuốc nhuộm, thuốc nổ TNT, Thuốc trừ cỏ 2,4-D
    Bài tập minh họa

    Bài 1:

    Cho các phát biểu sau đúng hay sai? Giải thích tại sao?
    (1) Phenol tan vô hạn trong nước ở 660C.
    (2) Phenol có lực axit mạnh hơn ancol etylic.
    (3) Phản ứng thế vào benzen dễ hơn phản ứng thế vào nhân thơm của phenol.
    (4) Phenol tan tốt trong etanol.
    (5) Phenol làm quí tím hóa đỏ.
    (6) Phenol phản ứng được với Brom ở điều kiện thường.
    Hướng dẫn:

    (1) Phenol tan vô hạn trong nước ở 660C. ⇒ Đúng.
    (2) Phenol có lực axit mạnh hơn ancol etylic. ⇒ Đúng.
    (3) Phản ứng thế vào benzen dễ hơn phản ứng thế vào nhân thơm của phenol. ⇒ Sai. Phản ứng thế vào benzen khó hơn.
    (4) Phenol tan tốt trong etanol. ⇒ Đúng.
    (5) Phenol làm quí tím hóa đỏ. ⇒ Sai. Phenol không làm đổi màu quỳ tím.
    (6) Phenol phản ứng được với Brom ở điều kiện thường. ⇒ Đúng.
    Bài 2:

    Cho m gam hỗn hợp A gồm phenol (C6H5OH) và axit axetic tác dụng vừa đủ với p gam dung dịch nước brom C%, sau phản ứng thu được dung dịch B và 33,1 gam kết tủa trắng. Để trung hòa hoàn toàn B cần 144,144 ml dung dịch NaOH 10% (d = 1,11 g/ml). Giá trị của m là?
    Hướng dẫn:

    C6H5OH + 3Br2 → C6H2OH(Br)3 + 3HBr
    ⇒ nkết tủa = nphenol = 0,1 mol
    \(n_{NaOH }= n_{HBr} + n_{CH_{3}COOH } \Rightarrow n_{CH_{3}COOH } = 0,1 \ mol\)
    ⇒ m = 15,4g
    Bài 3:

    Cho m gam hỗn hợp gồm phenol (C6H5OH) và rezoxinol (1,3-đihiđroxibenzen) tác dụng vừa đủ với 400 ml dung dịch brom 1,5M (lượng tối đa) thu được 67,48 gam kết tủa. Giá trị của m là?
    Hướng dẫn:

    C6H5OH + 3Br2 → HOC6H2Br3 + 3HBr
    x → 3x → x
    C6H4(OH)2 + 3Br2 → (HO)2C6HBr3 +3HBr
    y → 3y y
    ⇒ \(n_{Br_{2}}\) = 3x + 3y = 0,6 mol
    mkết tủa = 331x + 347y = 67,48g
    ⇒ x = 0,12; y = 0,08 mol
    ⇒ m = 20,08g