Tổng hợp lý thuyết và bài tập chuyên đề Tích phân

  1. Tác giả: LTTK CTV
    Đánh giá: ✪ ✪ ✪ ✪ ✪
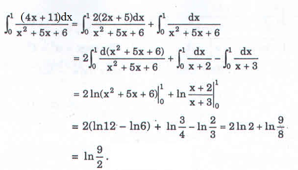
  2. Tác giả: LTTK CTV
    Đánh giá: ✪ ✪ ✪ ✪ ✪
  3. Tác giả: LTTK CTV
    Đánh giá: ✪ ✪ ✪ ✪ ✪
  4. Tác giả: LTTK CTV
    Đánh giá: ✪ ✪ ✪ ✪ ✪
    Tính tích phân \(A=\int\limits^2_0\frac{dx}{\sqrt{x+1}+\sqrt{\left(x+1\right)^3}}\) .
    • \(I=\frac{\pi}{6}\)
    • \(I=\frac{3\pi}{2}\)
    • \(I=\frac{3\pi}{4}\)
    • \(I=\frac{4\pi}{3}\)
    Hướng dẫn giải:

    Đặt \(t=\sqrt{x+1}\) thì \(x+1=t^2\), \(dx=2tdt\). Đổi cận \(x=0\Rightarrow t=1\); \(x=2\Rightarrow t=\sqrt{3}\). Từ đó
    \(I=\int_0^2\frac{dx}{\sqrt{1+x}+\sqrt{\left(1+x\right)^3}}=2\int_1\sqrt{^{ }3}\frac{tdt}{t+t^3}=2\int_1^{\sqrt{3}}\frac{dt}{1+t^2}\).
    Lại đặt \(t=\tan u\) thì \(dt=\left(1+\tan^2u\right)du=\left(1+t^2\right)du\) suy ra \(\int_1^{\sqrt{3}}\frac{dt}{1+t^2}=\int_{\frac{\pi}{4}}^{\frac{\pi}{3}}du=\frac{\pi}{12}\). Do đó \(I=\frac{\pi}{6}\) . Chọn A.
     
  5. Tác giả: LTTK CTV
    Đánh giá: ✪ ✪ ✪ ✪ ✪
  6. Tác giả: LTTK CTV
    Đánh giá: ✪ ✪ ✪ ✪ ✪
    Tính tích phân \(K=\int\limits^{\ln5}_0\frac{e^x\sqrt{e^x-1}}{e^x+3}dx\)
    • \(K=4-\pi\)
    • \(K=4+\pi\)
    • \(K=2-\pi\)
    • \(K=2+\pi\)
    Hướng dẫn giải:

    Đặt \(t=\sqrt{e^x-1}\Rightarrow t^2=e^x-1\Rightarrow2tdt=e^xdx\)
    Đổi cận: \(x=0\Rightarrow t=0;x=\ln5\Rightarrow t=2\).
    \(K=\int\limits^2_0\dfrac{2t^2}{t^2+4}dt=2\left(\int\limits^2_0dt-4\int\limits^2_0\dfrac{1}{t^2+4}dt\right)=4-8L\) trong đó
    \(L=\int\limits^2_0\dfrac{1}{t^2+4}dt\).
    Đặt \(t=2\tan u\Rightarrow dt=2\left(1+\tan^2u\right)du\). Đổi cận:
    \(t=0\Rightarrow u=0;t=2\Rightarrow u=\dfrac{\pi}{4}\)
    nên
    \(L=2\int\limits^{\dfrac{\pi}{4}}_0\dfrac{1}{4}du=\dfrac{\pi}{8}\Rightarrow K=4-\pi\)
     
  7. Tác giả: LTTK CTV
    Đánh giá: ✪ ✪ ✪ ✪ ✪
    Tính tích phân \(L=\int\limits^{\pi}_0\frac{\sin xdx}{\sqrt{1-2\alpha\cos x+\alpha^2}}\) trong đó \(\alpha>1\) đã cho.
    • \(L=2\)
    • \(L=\frac{2}{\alpha}\)
    • \(L=2\alpha\)
    • \(L=\frac{\alpha}{2}\)
    Hướng dẫn giải:

    Đặt \(t=\sqrt{1-2\alpha\cos x+\alpha^2}\) thì \(t^2=1-2\alpha\cos x+\alpha^2\) nên \(2tdt=2\alpha\sin xdx,\sin xdx=\dfrac{1}{\alpha}tdt\).
    Đổi cận : \(x=0\Rightarrow t=\left|1-\alpha\right|=\alpha>1\) (do giả thiết \(\alpha>1\)); \(x=\pi\Rightarrow t=\left|1+\alpha\right|=1+\alpha\). Do đó
    \(L=\dfrac{1}{\alpha}\int\limits^{\alpha+1}_{\alpha-1}dt=\dfrac{2}{\alpha}\)
     
  8. Tác giả: LTTK CTV
    Đánh giá: ✪ ✪ ✪ ✪ ✪
    Tính \(I=\)\(\int\limits^{\frac{\pi}{3}}_{\frac{\pi}{4}}\frac{xdx}{\sin^2x}\)
    • \(I=\frac{\left(3\sqrt{3}-2\right)\pi}{6\sqrt{3}}+\frac{1}{2}\ln\frac{3}{2}\)
    • \(I=\frac{\left(3\sqrt{3}+2\right)\pi}{6\sqrt{3}}+\frac{1}{2}\ln\frac{3}{2}\)
    • \(I=\frac{\left(3\sqrt{3}-4\right)\pi}{12\sqrt{3}}+\ln\sqrt{\frac{3}{2}}\)
    • \(I=\frac{\left(3\sqrt{3}+\pi\right)\pi}{12\sqrt{3}}+\ln\sqrt{\frac{3}{2}}\)
    Hướng dẫn giải:

    \(\int\limits^{\dfrac{\pi}{3}}_{\dfrac{\pi}{4}}\dfrac{xdx}{\sin^2x}=\int\limits^{\dfrac{\pi}{3}}_{\dfrac{\pi}{4}}x\left(-\cot x\right)'dx=-x\cot x|_{\dfrac{\pi}{4}}^{\dfrac{\pi}{3}}-\int\limits^{\dfrac{\pi}{3}}_{\dfrac{\pi}{4}}\left(-\cot x\right)\left(x\right)'dx\)
    \(=\dfrac{\pi}{4}-\dfrac{\pi}{3\sqrt{3}}+\int\limits^{\dfrac{\pi}{3}}_{\dfrac{\pi}{4}}\cot xdx=\dfrac{\pi}{4}-\dfrac{\pi}{3\sqrt{3}}+\int\limits^{\dfrac{\pi}{3}}_{\dfrac{\pi}{4}}\dfrac{d\left(\sin x\right)}{\sin x}\)
    \(=\dfrac{\pi}{4}-\dfrac{\pi}{3\sqrt{3}}+\int\limits^{\dfrac{\sqrt{3}}{2}}_{\dfrac{\sqrt{2}}{2}}\dfrac{dt}{t}\) \(=\dfrac{\pi}{4}-\dfrac{\pi}{3\sqrt{3}}+\ln\dfrac{\sqrt{3}}{\sqrt{2}}\)
    \(=\dfrac{\left(3\sqrt{3}-4\right)\pi}{12\sqrt{3}}+\ln\sqrt{\dfrac{3}{2}}\)
     
  9. Tác giả: LTTK CTV
    Đánh giá: ✪ ✪ ✪ ✪ ✪
    Xét tích phân \(M=\int\limits^{\frac{\pi}{2}}_0e^{\sin^2x}.\sin x.\cos^3xdx\) . Đặt \(t=\sin^2t\). Khẳng định nào sau đây đúng?
    • \(M=\frac{1}{2}\int_0^1e^t\left(1-t\right)dt\)
    • \(M=\frac{1}{2}\left[\int\limits_0^1e^tdt+\int\limits_0^1t.e^tdt\right]\)
    • \(M=2\int\limits^1_0e^t\left(1-t\right)dt\)
    • \(M=2\left[\int\limits^1_0e^tdt+\int\limits^1_0t.e^tdt\right]\)
    Hướng dẫn giải:

    \(t=\sin^2x\Rightarrow\cos^2x=1-t;dt=2\sin x\cos xdx\)
    01.jpg
     
  10. Tác giả: LTTK CTV
    Đánh giá: ✪ ✪ ✪ ✪ ✪
    Tính \(N=\int\limits^{\frac{\pi}{3}}_{\frac{\pi}{6}}\frac{\ln\left(\sin x\right)}{\cos^2x}dx\)
    • \(N=\frac{2}{\sqrt{3}}\ln\frac{3}{4}-\frac{\pi}{6}\)
    • \(N=\frac{1}{\sqrt{3}}\ln\frac{3\sqrt{3}}{4}-\frac{\pi}{6}\)
    • \(N=\frac{\sqrt{3}}{2}\ln\frac{3}{4}+\frac{\pi}{6}\)
    • \(N=\frac{2}{\sqrt{3}}\ln\frac{3\sqrt{3}}{4}+\frac{\pi}{6}\)
    Hướng dẫn giải:

    \(N=\int\limits^{\dfrac{\pi}{3}}_{\dfrac{\pi}{6}}\dfrac{\ln\left(\sin x\right)}{\cos^2x}dx=\int\limits^{\dfrac{\pi}{3}}_{\dfrac{\pi}{6}}\ln\left(\sin x\right)\left(\tan x\right)'dx=\ln\left(\sin x\right)\left(\tan x\right)|_{\dfrac{\pi}{6}}^{\dfrac{\pi}{3}}-\int\limits^{ }_{\dfrac{\pi}{6}}dx\)
    01.jpg
    02.jpg