Kí hiệu i là đơn vị ảo. Tìm tất cả các cặp số phức v,z thỏa mãn hệ phương trình : \(\left\{\begin{matrix}iv-3z=i+1\\2v-iz=i-2\end{matrix}\right.\) \(v=3-4i;z=2+5i\) \(v=-\frac{5}{7}+\frac{2}{7}i;z=-\frac{3}{7}-\frac{4}{7}i\) \(v=-\frac{3}{7}-\frac{4}{7}i;z=-\frac{5}{7}+\frac{2}{7}i\) \(v=-1+\frac{2}{5}i;z=-\frac{3}{5}-\frac{4}{5}i\) Hướng dẫn giải:
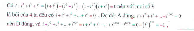
Kí hiệu i là đơn vị ảo. Trong các khẳng định sau, khẳng định nào sai ? \(i+i^2+i^3+...+i^{2000}=0\) \(i+i^2+i^3+...+i^{999}=-1\) \(i+i^2+i^3+...+i^{2007}=-i\) \(1+i+i^2+i^3+...+i^{1000}=1\) Hướng dẫn giải:
Tìm tập hợp các điểm trên mặt phẳng tọa độ biểu diễn các số phức z thỏa mãn điều kiện : Số phức \(v=\left(z-i\right)\left(2+i\right)\) một số thuần ảo ? Đường tròn \(x^2+y^2=2\) Đường thẳng \(x+2y-2=0\) Đường thẳng \(2x-y+1=0\) Đường parabol \(2x=y^2\) Hướng dẫn giải:
Cho hình chóp tứ giác đều S.ABCD có các mặt bên nghiêng với đáy một góc \(45^o\). Gọi M, N, P lần lượt là trung điểm các cạnh bên SA, SB, SD của hình chóp. Tính cạnh đáy của hình chóp đã cho biết khối tứ diện AMNP có thể tích bằng \(18cm^3\) ? 12 cm 6 cm 8 cm 16 cm Hướng dẫn giải:
Gọi M, N là trung điểm các cạnh A'B' và B'C' của khối hộp ABCD.A'B'C'D'. Tính thể tích của khối hộp nếu biết khối tứ diện BD'MN có thể tích \(8cm^3\) ? \(48cm^3\) \(64cm^3\) \(80cm^3\) \(40cm^3\) Hướng dẫn giải:
Tính thể tích khối hộp ABCD.A'B'C'D' biết khối chóp A.BB'D'D có thể tích bằng \(5cm^3\) ? \(15cm^3\) \(10cm^3\) \(40cm^3\) \(25cm^3\) Hướng dẫn giải:
Gọi M. N là trung điểm hai cạnh bên AA', BB' của khối lăng trụ tam giác ABC.A'B'C'. Tính thể tích của khối lăng trụ nếu biết khối đa diện ABCMN có thể tích bằng \(1cm^3\) ? \(2cm^3\) \(4cm^3\) \(6cm^3\) \(3cm^3\) Hướng dẫn giải:
Tính thể tích khối trụ tròn ngoại tiếp khối lăng trụ lục giác đều có cạnh đáy bằng a và diện tích xung quanh bằng \(12a^2\) ? \(6\pi a^3\) \(\pi a^3\) \(2\pi a^3\) \(3\pi a^3\) Hướng dẫn giải:
Cho khối lăng trụ có chiều cao đường kính đáy. Kẻ hai bán kính đáy OA và O'B' không song song với nhau rồi cắt khối trụ bởi một mặt phẳng qua A', B' và song song với trục của khối trụ ta được thiết diện có diện tích bằng một nửa diện tích thiết diện phẳng qua trục. Tính góc tạo thành bởi OA, O'B' ? \(60^o\) \(45^o\) \(90^o\) \(30^o\) Hướng dẫn giải:
Cho một khối lập phương và khối trụ với hai đáy là hai đường tròn nội tiếp hai mặt của khối lập phương. Tính thể tích khối lập phương nếu biết khối trụ có diện tích xung quanh là \(25\pi\) ? \(27cm^3\) \(8cm^3\) \(125cm^3\) \(5\sqrt{5}cm^3\) Hướng dẫn giải: